知否科技
知无知,才有知
主页
请帖模板
知识中心
课后习题答案
文档资料
小说名著
每日一文
习题章节
真题试卷
简历模板
关于我们
联系我们
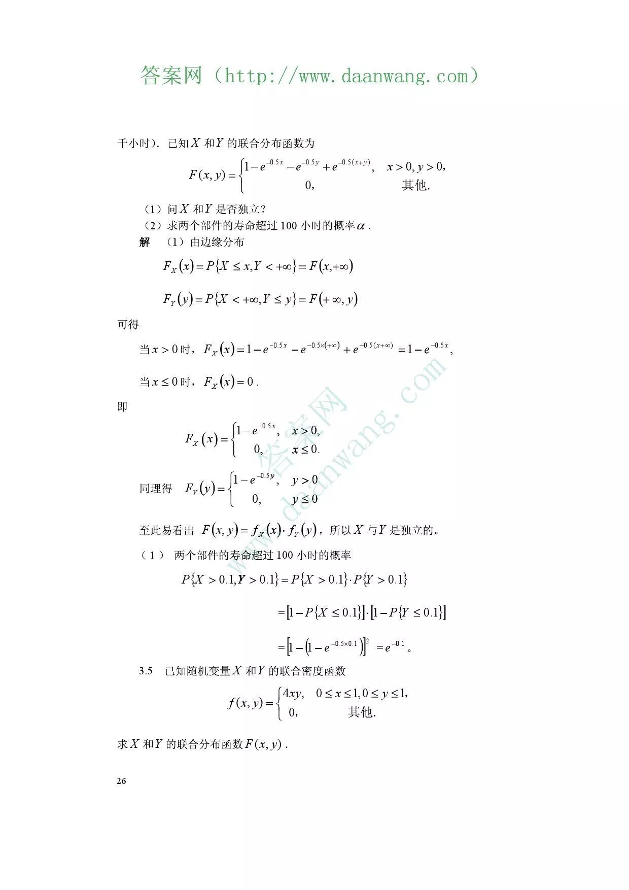
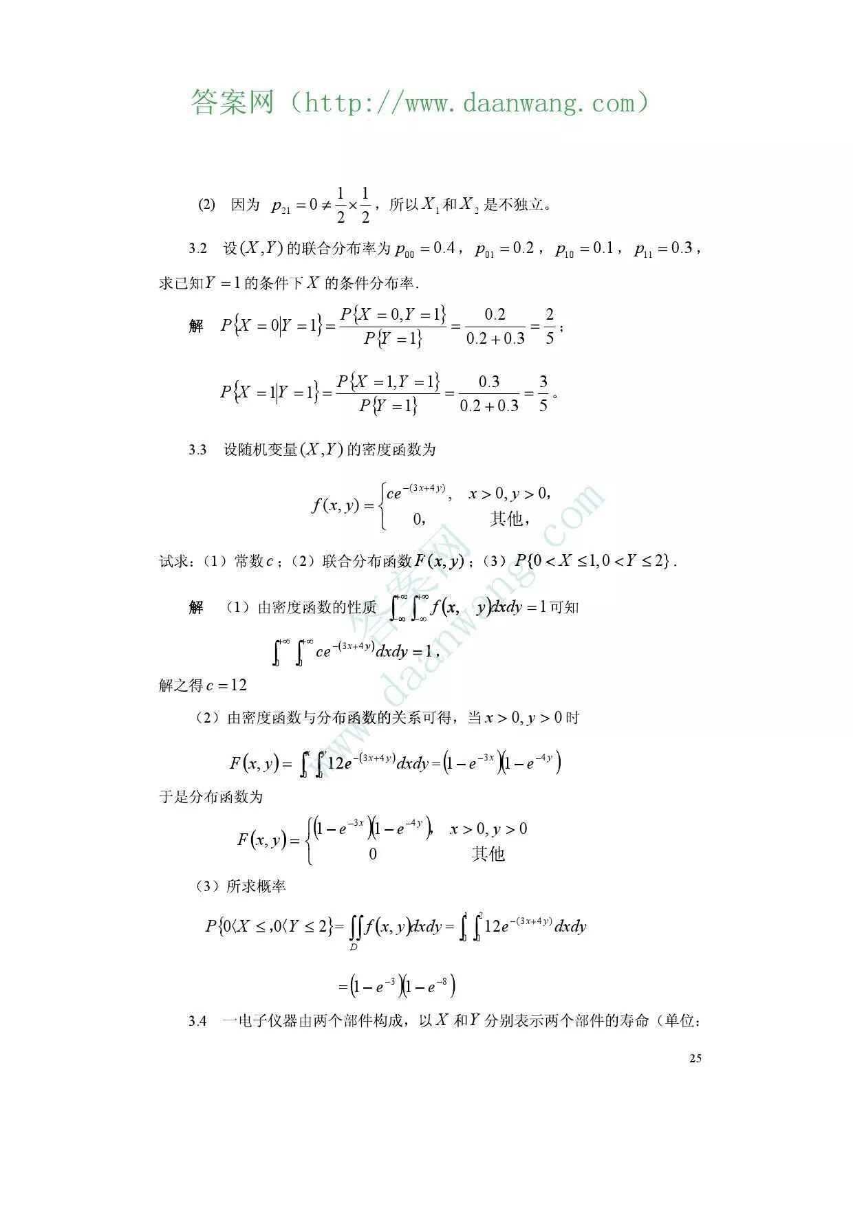
第3、4章 多维随机变量及其分布 、 随机变量的数字特征
概率论与数理统计简明教程
丁正生 编 / 高等教育出版社
林深时渐露 上传
查看本书
第三章 多维随机变量及其分布
第4章 随机变量的数字特征
查看更多