知否科技
知无知,才有知
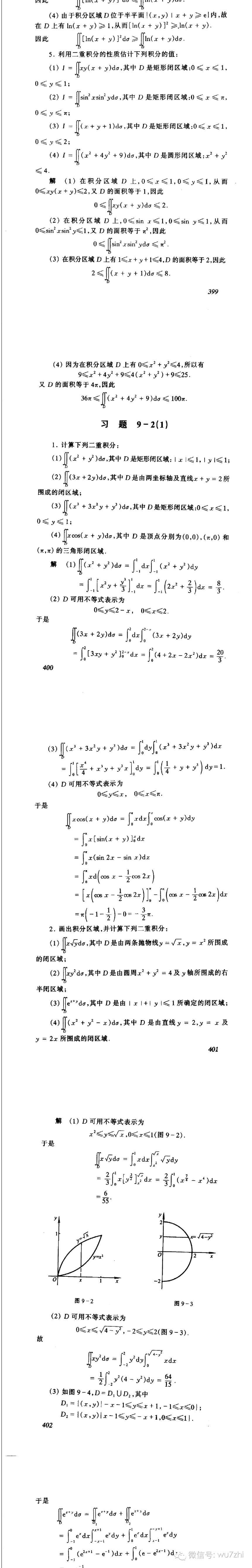
主页
请帖模板
知识中心
课后习题答案
文档资料
小说名著
每日一文
习题章节
真题试卷
简历模板
关于我们
联系我们
第9章:重积分
高等数学(第四版)(下册)
同济大学数学教研室 编 / 高等教育出版社
凉白开 上传
查看本书
第9章:重积分
查看更多