知否科技
知无知,才有知
主页
请帖模板
知识中心
课后习题答案
文档资料
小说名著
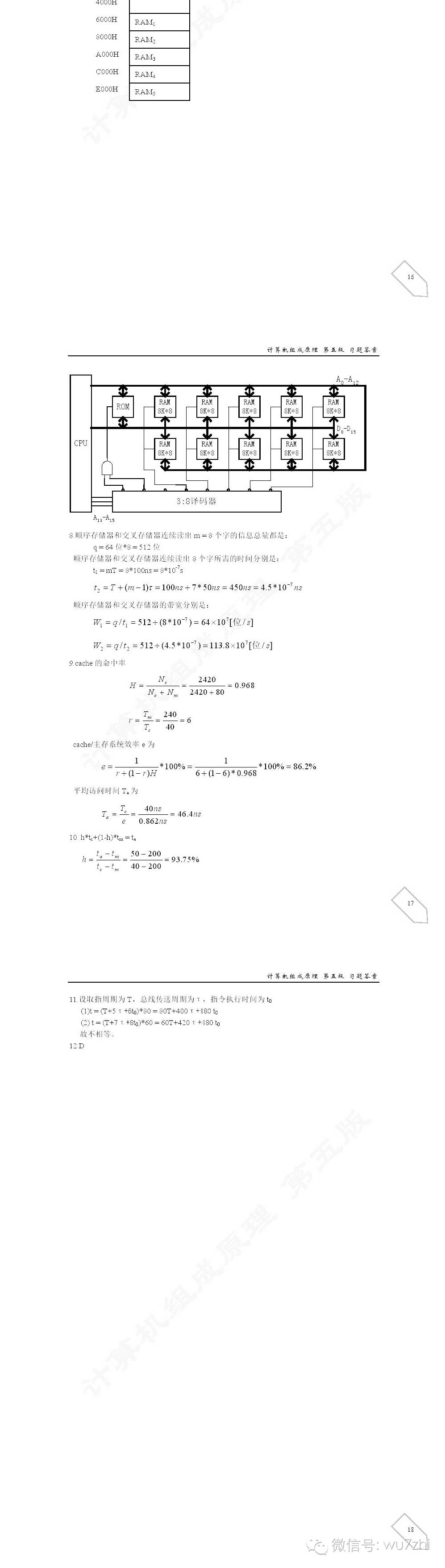
每日一文
习题章节
真题试卷
简历模板
关于我们
联系我们
第3、4章多层次的存储器 、指令系统
计算机组成原理(第五版·立体化教材)
白中英 / 科学出版社
Nothing for nothing 上传
查看本书
第3章多层次的存储器
第4章指令系统
查看更多