知ing

矢量分析与场论(第四版)-工程数学

谢树艺 编 / 高等教育出版社

ScottyAlpha 上传

查看本书
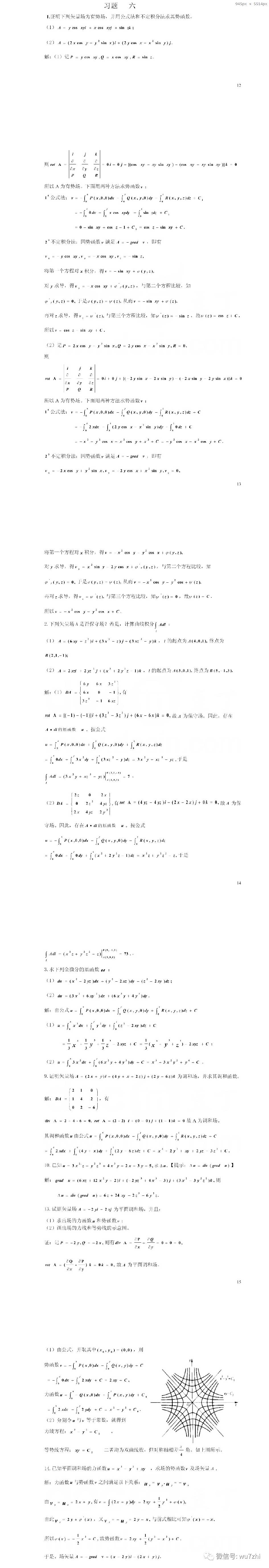
查看更多