知否科技
知无知,才有知
主页
请帖模板
知识中心
课后习题答案
文档资料
小说名著
每日一文
习题章节
真题试卷
简历模板
关于我们
联系我们
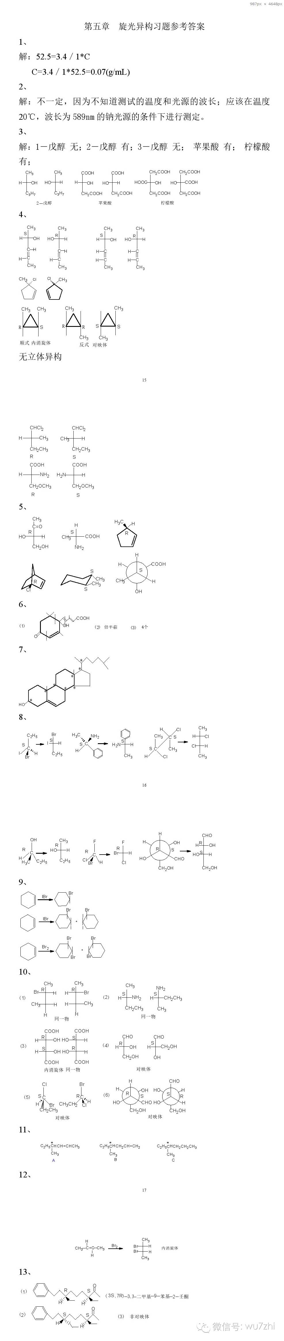
第5、6章 旋光异构、卤代烃
有机化学
徐伟亮 编 / 科学出版社
灬 上传
查看本书
第5章 旋光异构
第6章 卤代烃
查看更多