知否科技
知无知,才有知
主页
请帖模板
知识中心
课后习题答案
文档资料
小说名著
每日一文
习题章节
真题试卷
简历模板
关于我们
联系我们
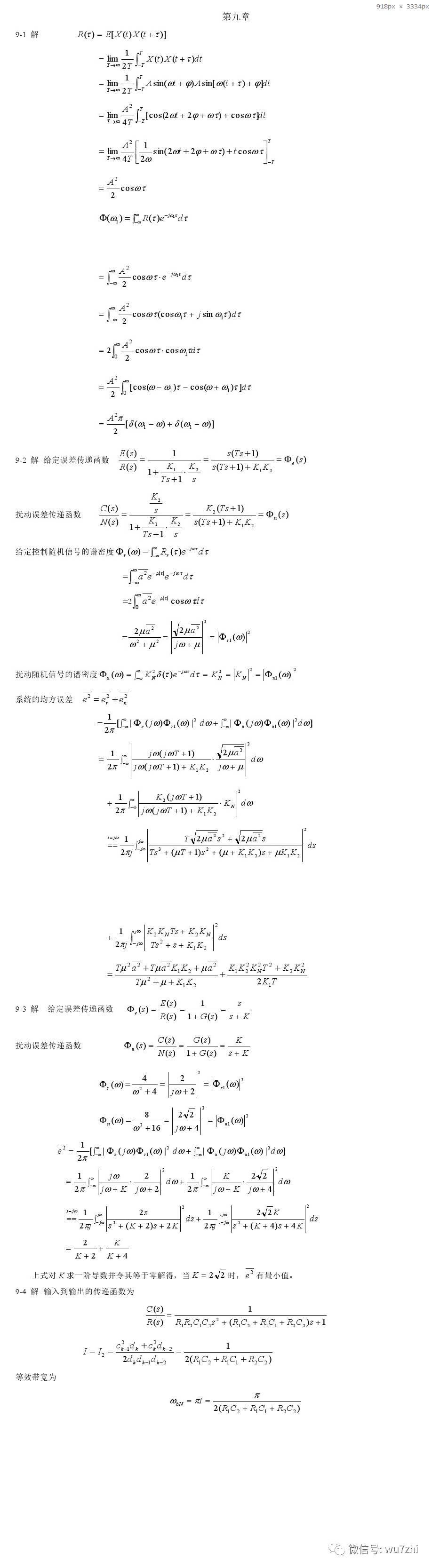
第9章: 平稳随机信号作用下线性系统的分析
自动控制理论(第三版)
夏德钤、翁贻方 编 / 机械工业出版社
你爸爸和你妈妈一起打麻将 上传
查看本书
第9章: 平稳随机信号作用下线性系统的分析
查看更多