知否科技
知无知,才有知
主页
请帖模板
知识中心
课后习题答案
文档资料
小说名著
每日一文
习题章节
真题试卷
简历模板
关于我们
联系我们
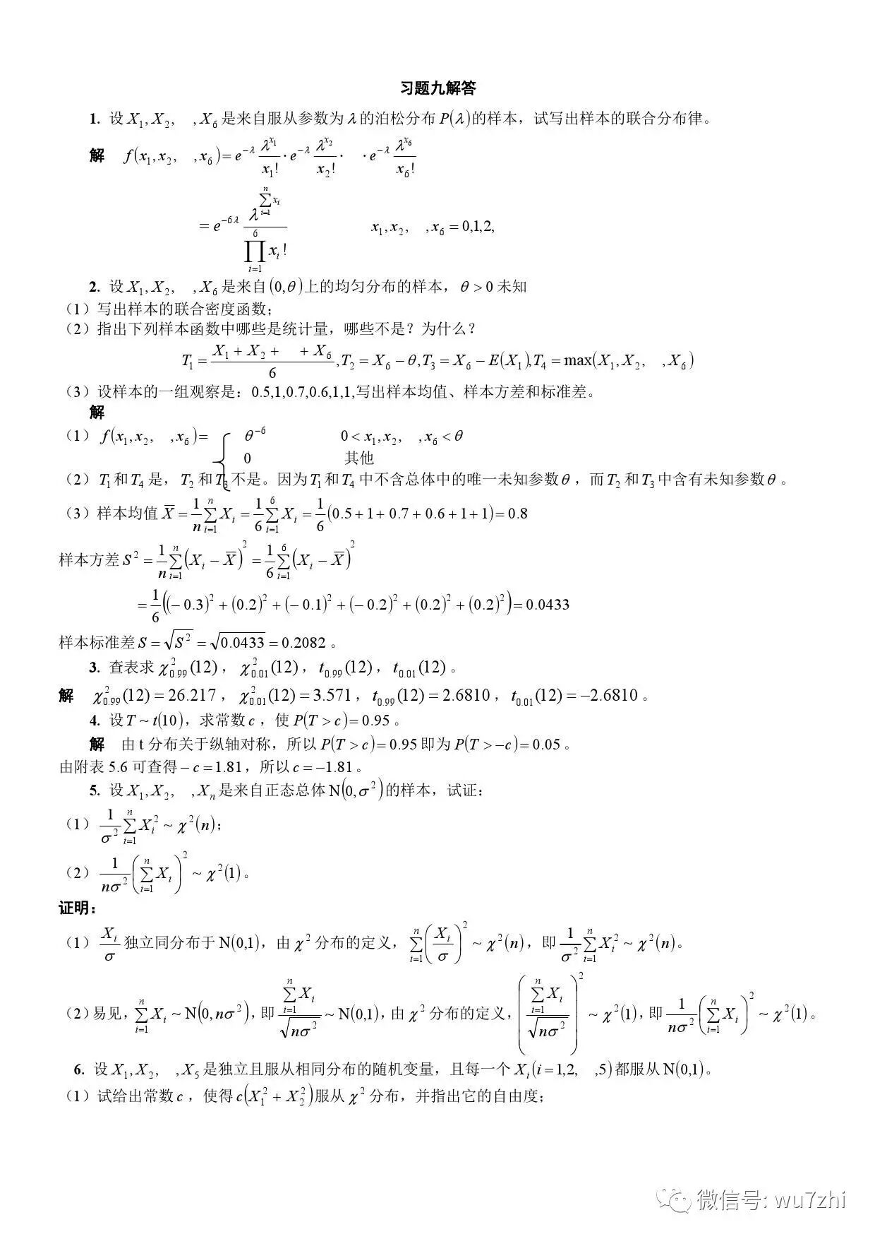
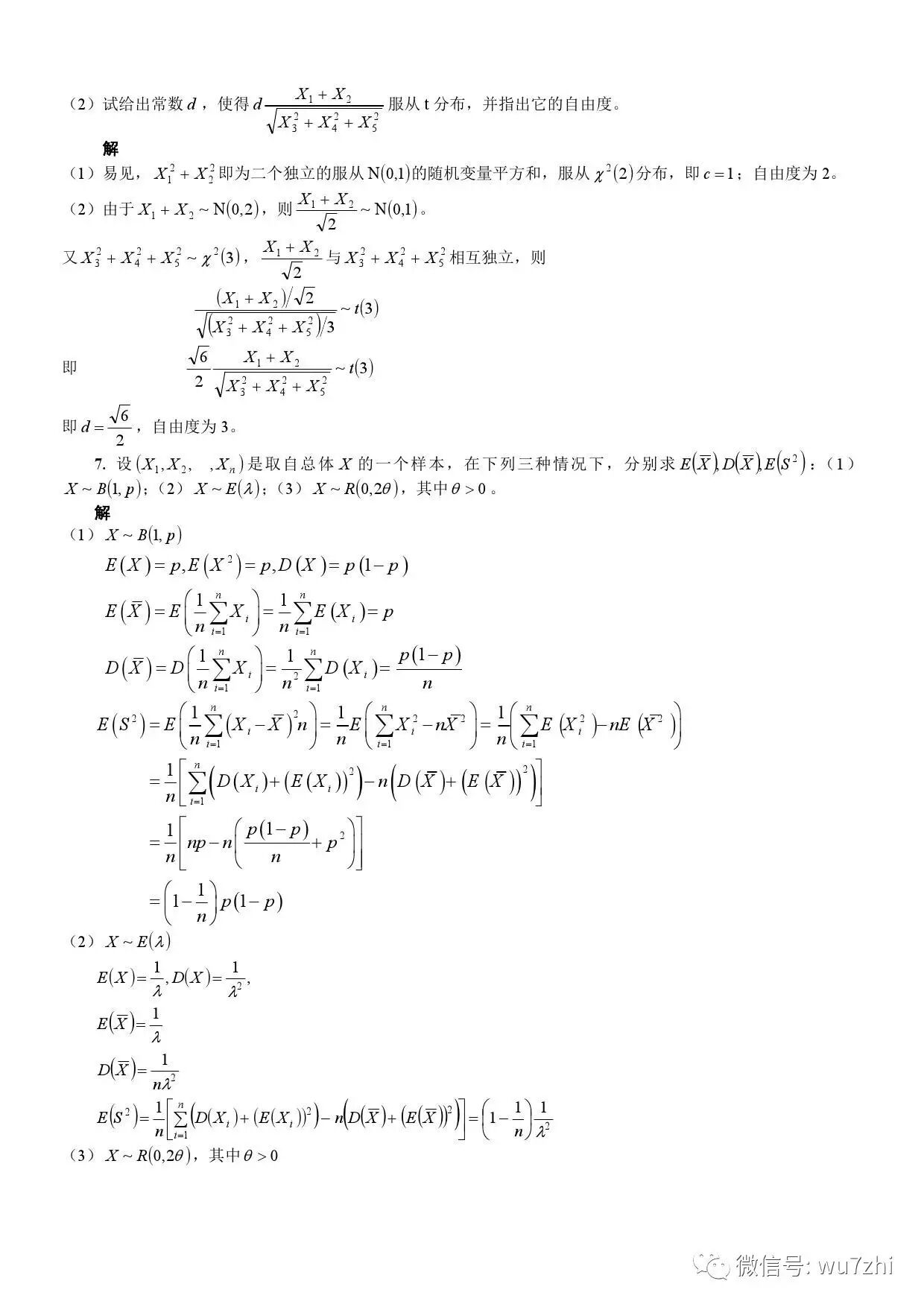
第9、10章 点估计、区间估计
概率统计简明教程(第二版)-工程数学
同济大学数学系 编 / 高等教育出版社
╬═☆杺誶ルo 上传
查看本书
第9、10章 点估计、区间估计
查看更多