知否科技
知无知,才有知
主页
请帖模板
知识中心
课后习题答案
文档资料
小说名著
每日一文
习题章节
真题试卷
简历模板
关于我们
联系我们
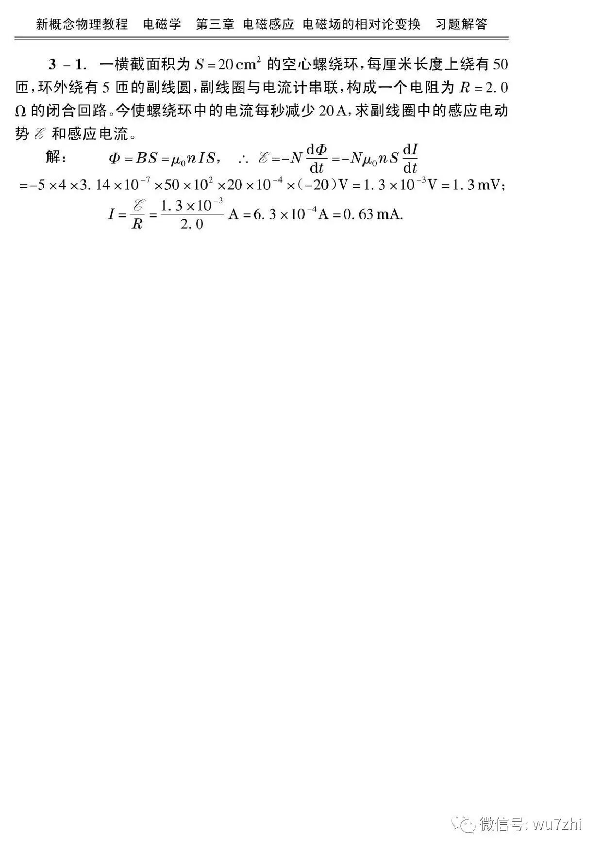
第三章 电磁感应 电磁场的相对论变换
新概念物理教程-电磁学
赵凯华 陈熙谋 编 / 高等教育出版社
བདེ་འཚོལ་བ། 上传
查看本书
第三章 电磁感应 电磁场的相对论变换
查看更多