知否科技
知无知,才有知
主页
请帖模板
知识中心
课后习题答案
文档资料
小说名著
每日一文
习题章节
真题试卷
简历模板
关于我们
联系我们
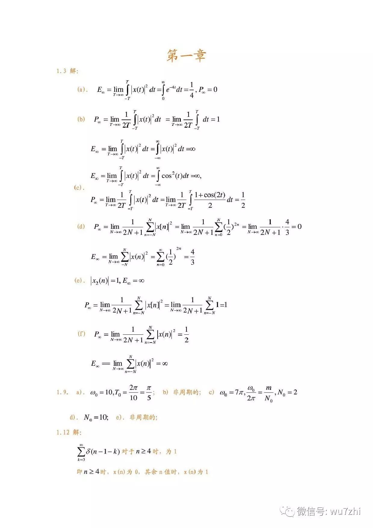
第1章 信号与系统
信号与系统(第二版)
奥本海姆编著,刘树棠译 / 西安交通大学出版社
惊残好梦无寻处 上传
查看本书
第1章 信号与系统
查看更多