知否科技
知无知,才有知
主页
请帖模板
知识中心
课后习题答案
文档资料
小说名著
每日一文
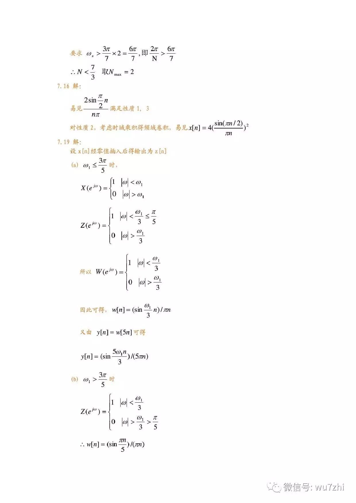
习题章节
真题试卷
简历模板
关于我们
联系我们
第6、7章 信号与系统的时域和频域特性、采样
信号与系统(第二版)
奥本海姆编著,刘树棠译 / 西安交通大学出版社
惊残好梦无寻处 上传
查看本书
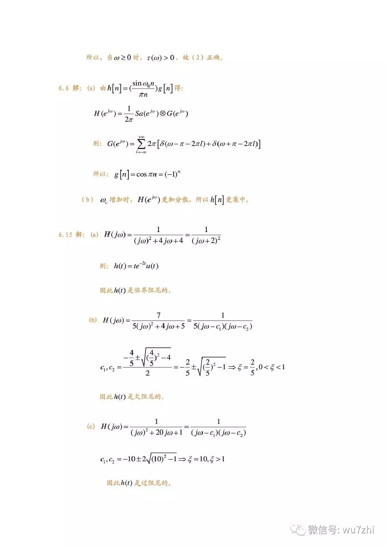
第6章 信号与系统的时域和频域特性
查看更多