知否科技
知无知,才有知
主页
请帖模板
知识中心
课后习题答案
文档资料
小说名著
每日一文
习题章节
真题试卷
简历模板
关于我们
联系我们
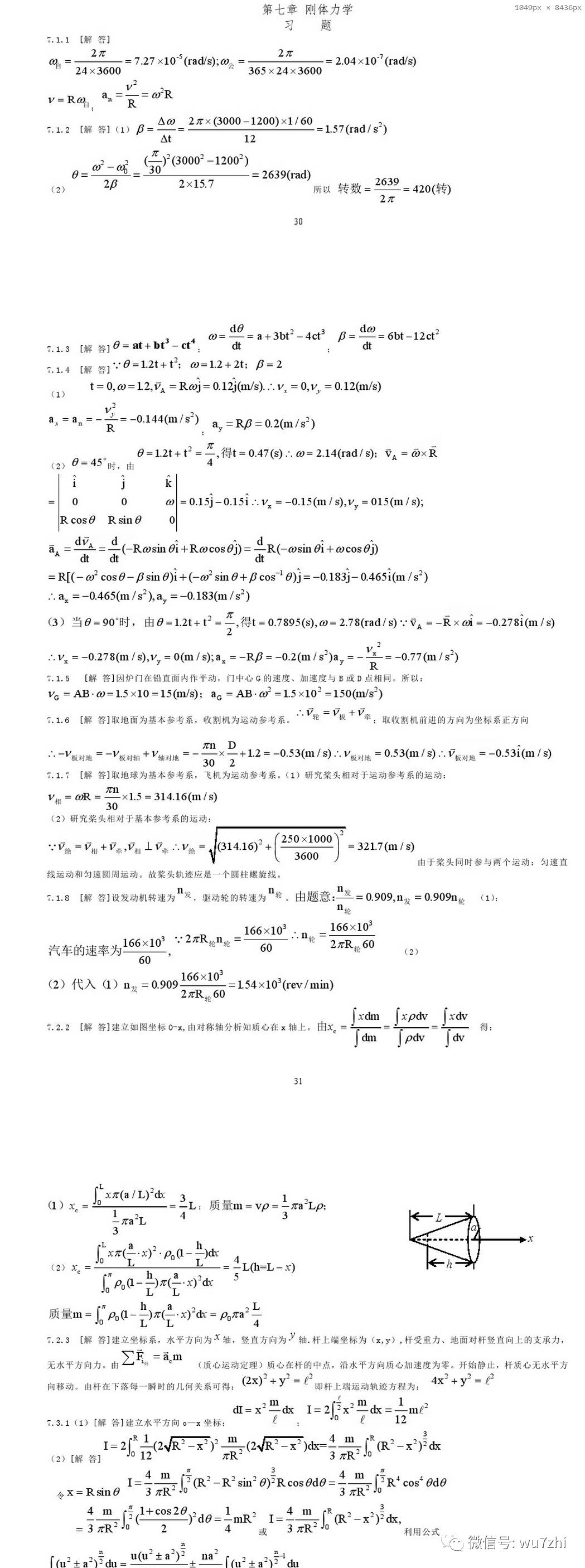
第7章 刚体力学
力学(第二版)—普通物理学教程
漆安慎 杜婵英 编 / 高等教育出版社
未知 上传
查看本书
第7章 刚体力学
查看更多