知否科技
知无知,才有知
主页
请帖模板
知识中心
课后习题答案
文档资料
小说名著
每日一文
习题章节
真题试卷
简历模板
关于我们
联系我们
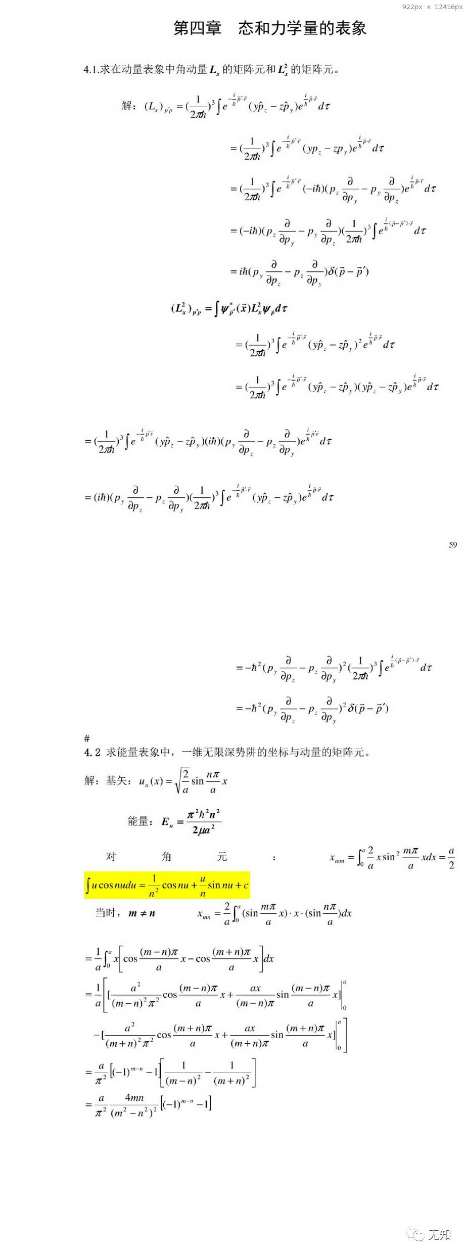
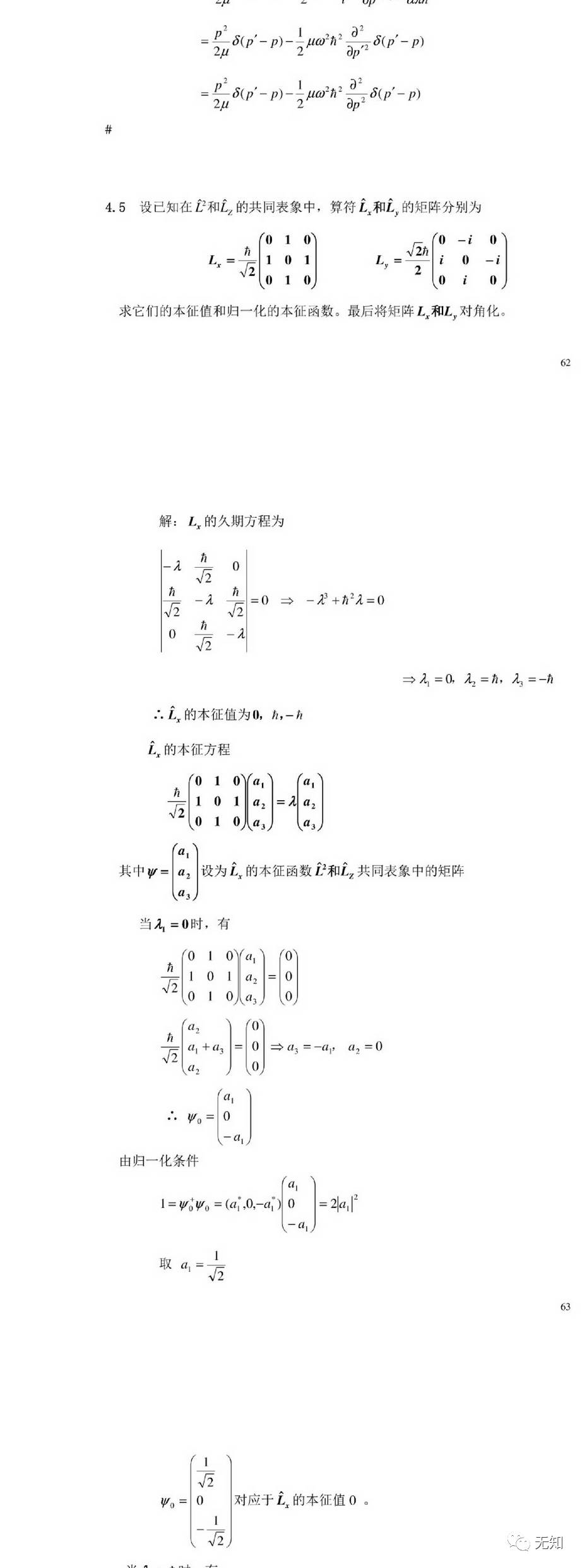
第四章 态和力学量的表象
量子力学教程(第二版)
周世勋 编 / 高等教育出版社
日知_ 上传
查看本书
第四章 态和力学量的表象
查看更多