知否科技
知无知,才有知
主页
请帖模板
知识中心
课后习题答案
文档资料
小说名著
每日一文
习题章节
真题试卷
简历模板
关于我们
联系我们
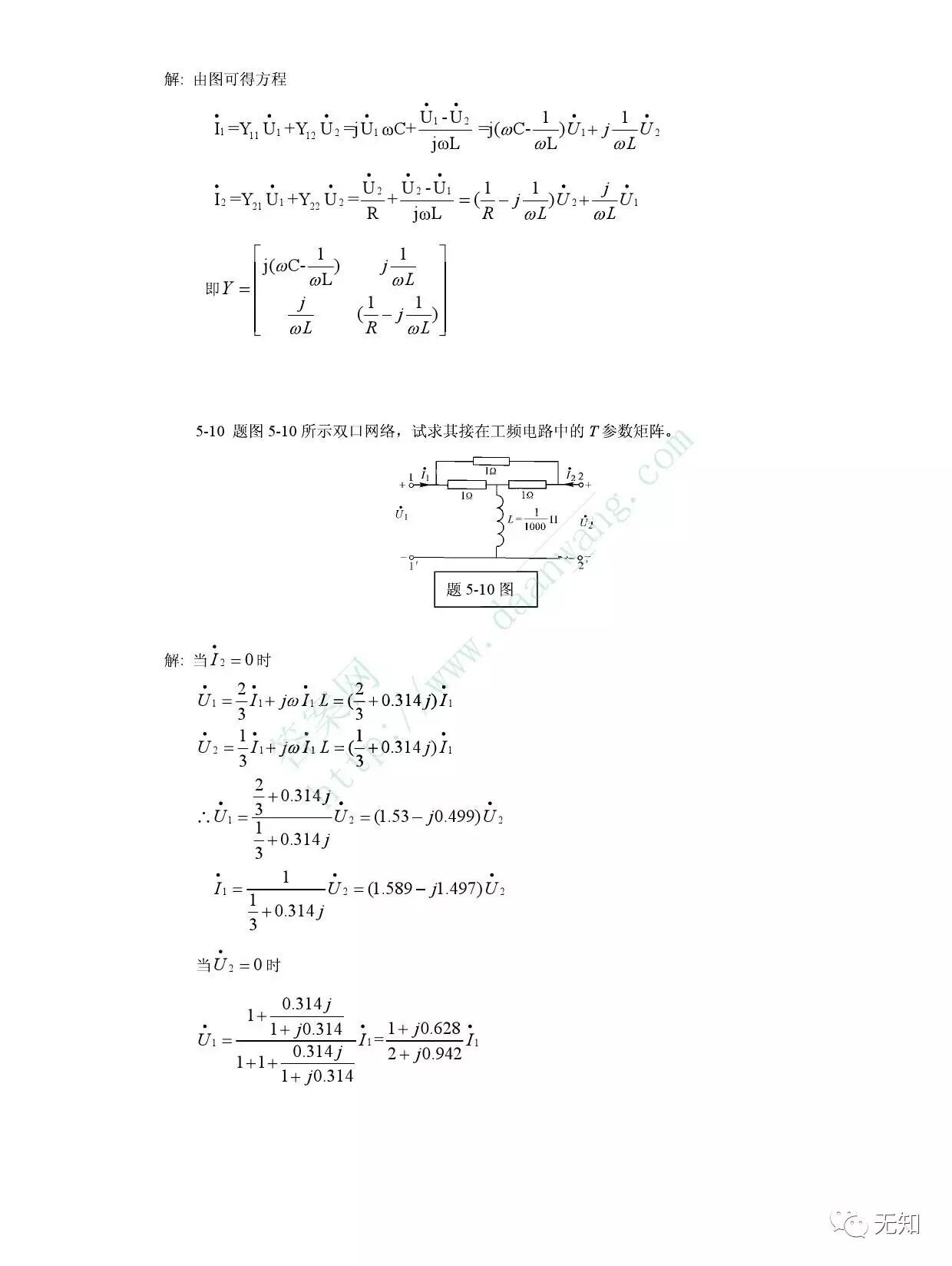
第五章 双口网络
电路原理 第3版
范承志 编 / 机械工业出版社
◤冷面人◥ 上传
查看本书
第五章 双口网络
查看更多