知否科技
知无知,才有知
主页
请帖模板
知识中心
课后习题答案
文档资料
小说名著
每日一文
习题章节
真题试卷
简历模板
关于我们
联系我们
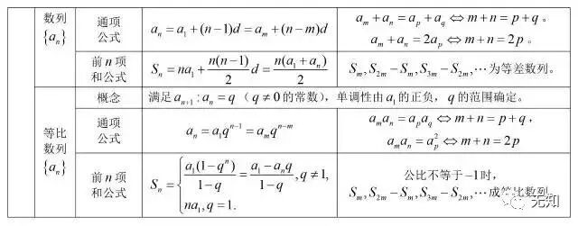
数 列
高中数学公式大全
无知 / 无知整理
篮球人 上传
查看本书
查看更多