知否科技
知无知,才有知
主页
请帖模板
知识中心
课后习题答案
文档资料
小说名著
每日一文
习题章节
真题试卷
简历模板
关于我们
联系我们
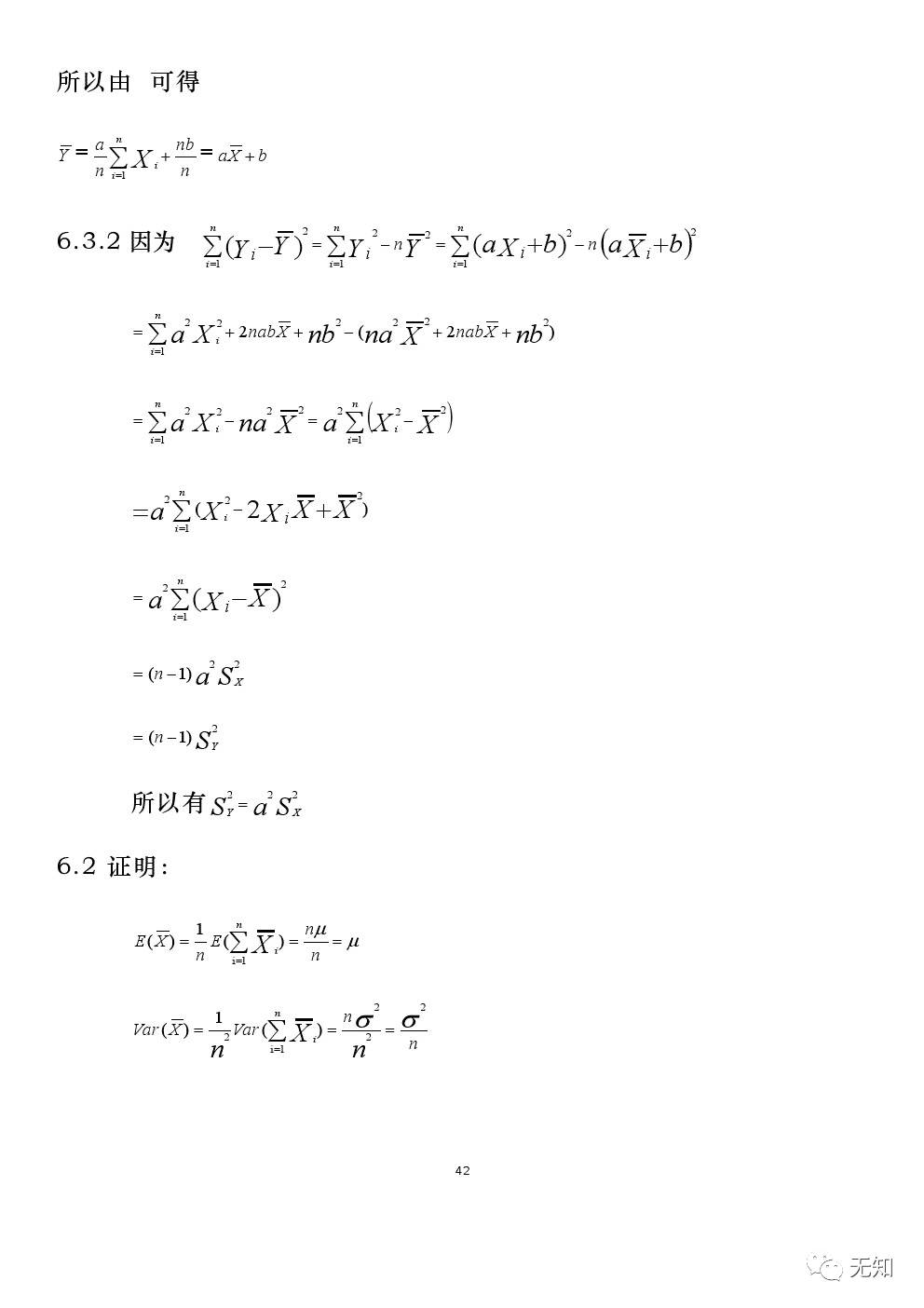
第6章 样本与统计量
概率论与数理统计(第三版)
王松桂 编 / 科学出版社
最好的我们 上传
查看本书
第6章 样本与统计量
查看更多