知否科技
知无知,才有知
主页
请帖模板
知识中心
课后习题答案
文档资料
小说名著
每日一文
习题章节
真题试卷
简历模板
关于我们
联系我们
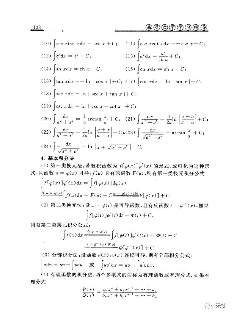
第4章 不定积分
高等数学(第三版)
马铭福、亓健 、费祥历 编 / 中国石油大学出版社
负了流年 上传
查看本书
第4章 不定积分
查看更多