知否科技
知无知,才有知
主页
请帖模板
知识中心
课后习题答案
文档资料
小说名著
每日一文
习题章节
真题试卷
简历模板
关于我们
联系我们
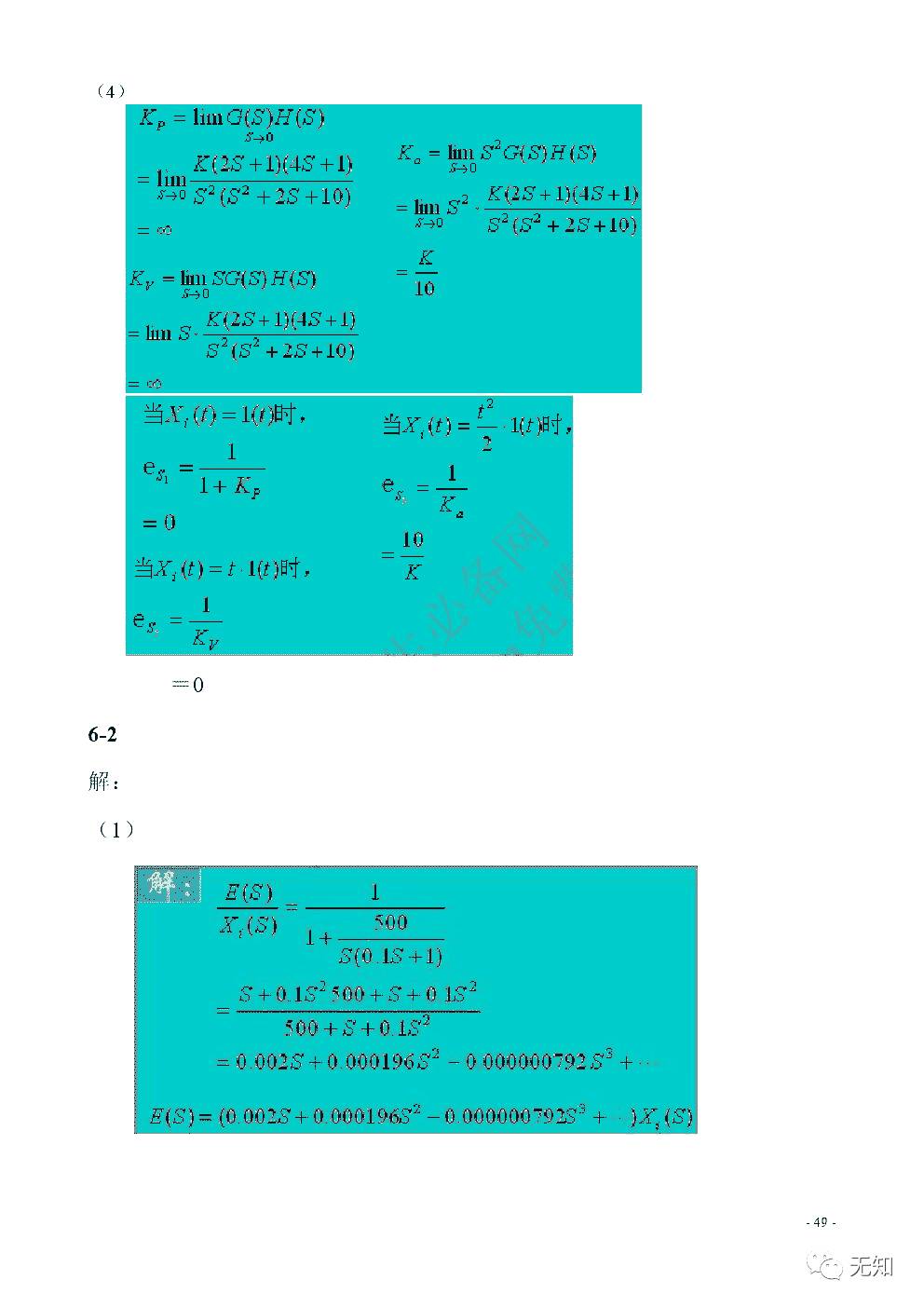
第6章 控制系统的误差分析和计算
控制工程基础(第四版)
董景新 赵长德 编 / 清华大学出版社
春风十里 上传
查看本书
第6章 控制系统的误差分析和计算
查看更多