知否科技
知无知,才有知
主页
请帖模板
知识中心
课后习题答案
文档资料
小说名著
每日一文
习题章节
真题试卷
简历模板
关于我们
联系我们
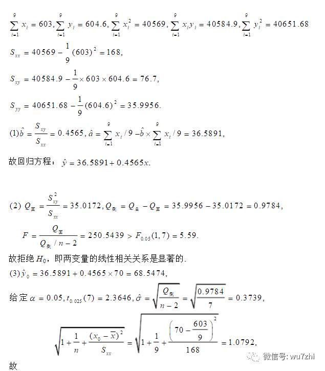
第10章 回归分析
概率论与数理统计(修订版)
韩旭里 谢永钦 编 / 复旦大学出版社
稚终 上传
查看本书
第10章 回归分析
查看更多