知否科技
知无知,才有知
主页
请帖模板
知识中心
课后习题答案
文档资料
小说名著
每日一文
习题章节
真题试卷
简历模板
关于我们
联系我们
第七章 非正弦周期电流电路的分析
电路原理(第2版)上册
周守昌 编 / 高等教育出版社
去忧 上传
查看本书
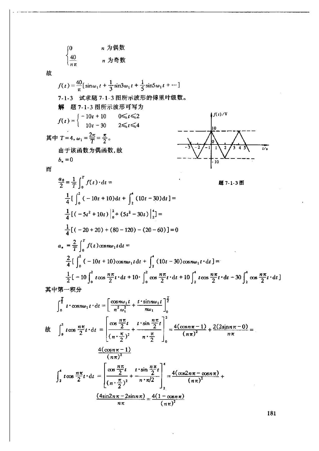
第七章 非正弦周期电流电路的分析
查看更多