知否科技
知无知,才有知
主页
请帖模板
知识中心
课后习题答案
文档资料
小说名著
每日一文
习题章节
真题试卷
简历模板
关于我们
联系我们
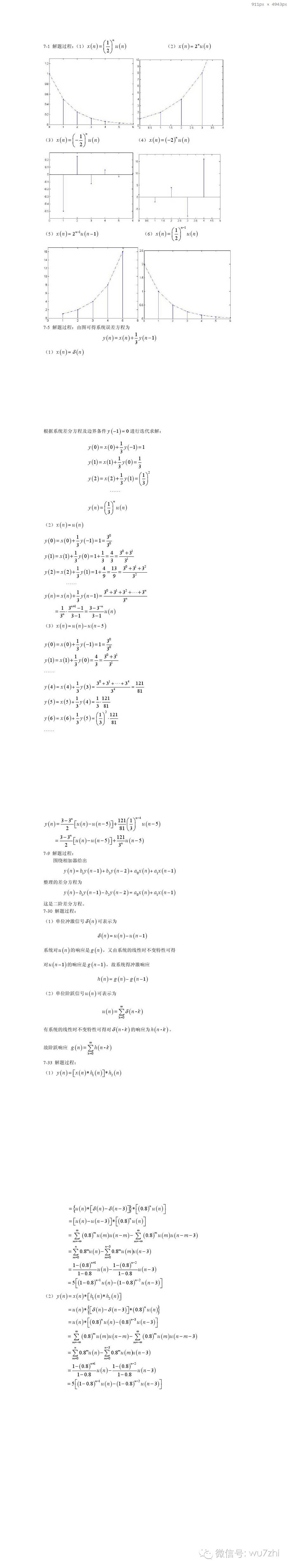
第7章 离散时间系统的时域分析
信号与系统(第三版)(上、下册)
郑君里 应启珩 杨为理 编 / 高等教育出版社
Again 上传
查看本书
第7章 离散时间系统的时域分析
查看更多