知否科技
知无知,才有知
主页
请帖模板
知识中心
课后习题答案
文档资料
小说名著
每日一文
习题章节
真题试卷
简历模板
关于我们
联系我们
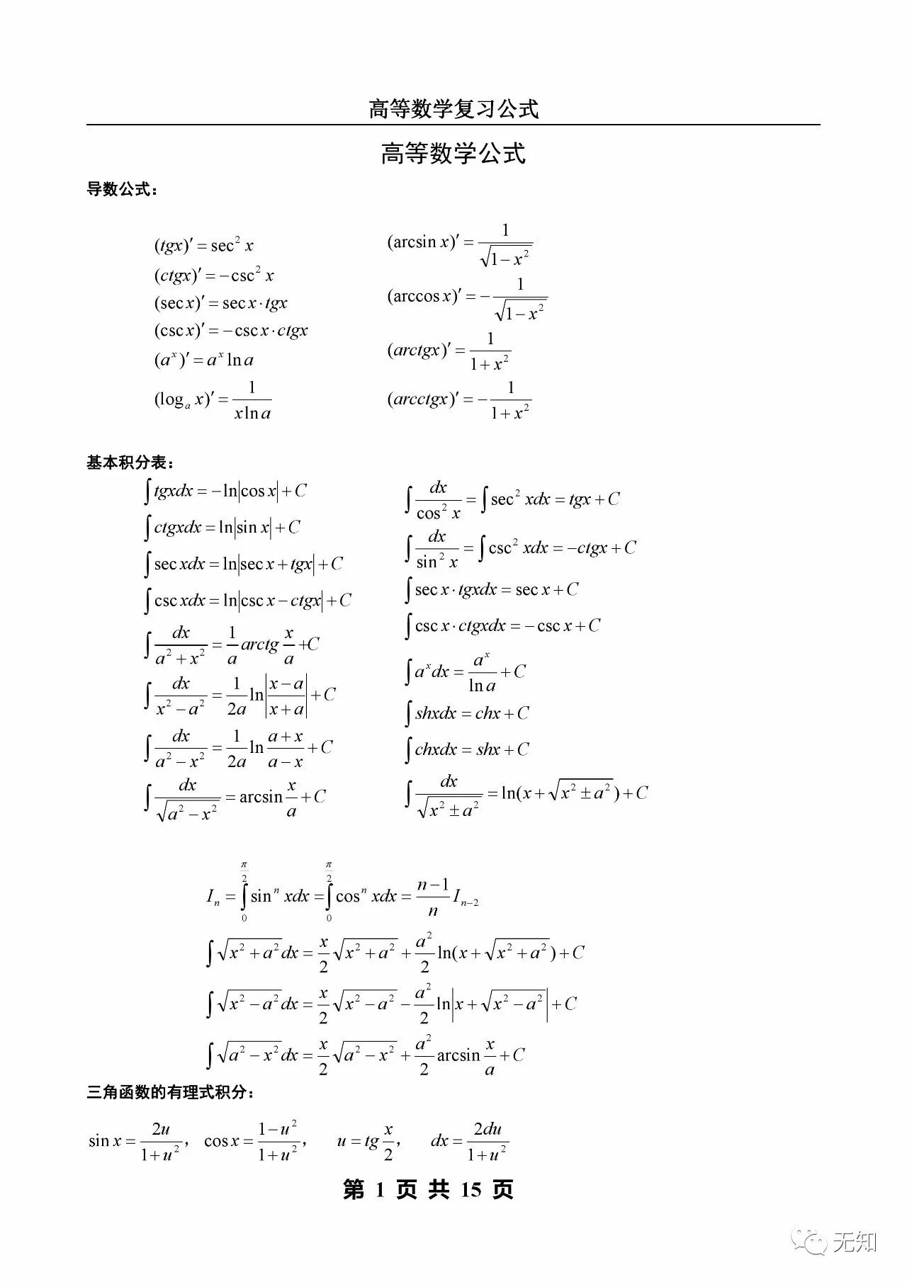
导数公式|基本积分表|三角函数的有理式积分
高等数学公式集合
无知 / 无知整理
宿醉 上传
查看本书
导数公式|基本积分表|三角函数的有理式积分
查看更多