知否科技
知无知,才有知
主页
请帖模板
知识中心
课后习题答案
文档资料
小说名著
每日一文
习题章节
真题试卷
简历模板
关于我们
联系我们
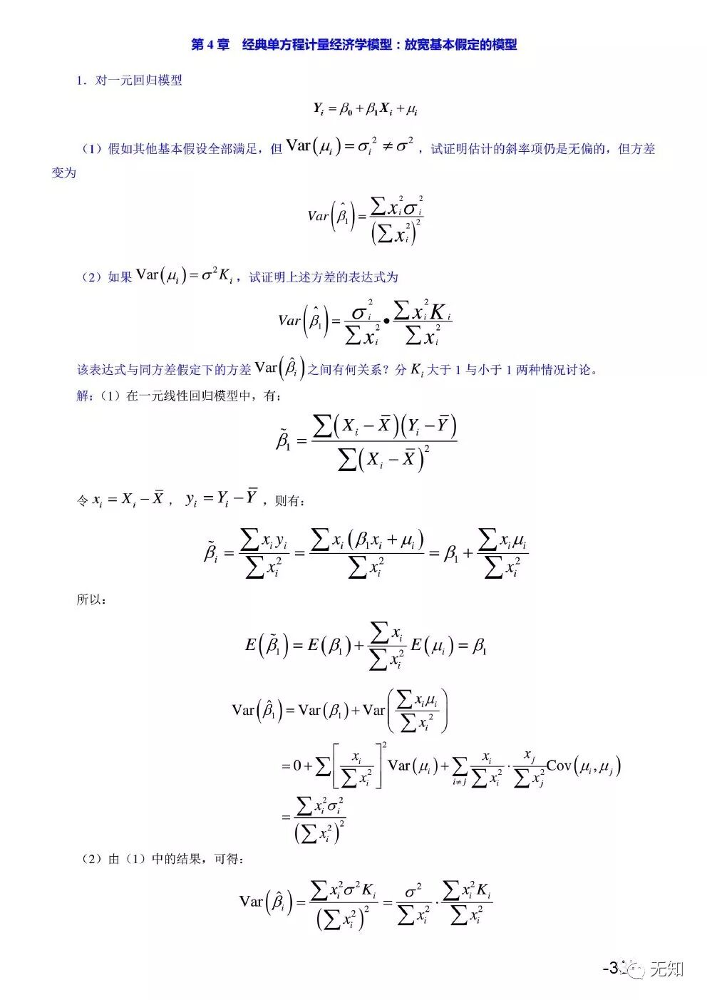
第四章 经典单方程计量经济学模型:放宽基本假定的模型
计量经济学(第四版)
李子奈,潘文卿 / 高等数学出版社
young, 上传
查看本书
第四章 经典单方程计量经济学模型:放宽基本假定的模型
查看更多