知否科技
知无知,才有知
主页
请帖模板
知识中心
课后习题答案
文档资料
小说名著
每日一文
习题章节
真题试卷
简历模板
关于我们
联系我们
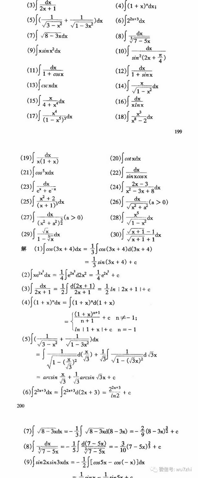
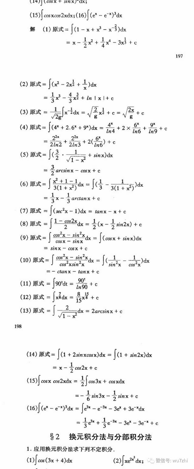
第8章 不定积分
数学分析(第四版)上册
华东师范大学数学系 编 / 高等教育出版社
? 上传
查看本书
第8章 不定积分
查看更多